链传动设计及计算(2)
滚子链链轮的结构设计
1.链轮的齿形
链轮齿形必须保证链节能平稳自如地进入和退出啮合,尽量减少啮合时的链节的冲击和接触应力,而且要易于加工。
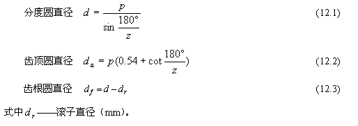
常用的链轮端面齿形见图6。它是由三段圆弧aa、ab、cd和一段直线bc构成,简称三圆弧-直线齿形。齿形用标准刀具加工,在链轮工作图上不必绘制端面齿形,只需在图上注明齿形按3RGB1244-85规定制造即可,但应绘制链轮的轴面齿形,见图7,其尺寸参阅有关设计手册。工作图中应注明节距p、齿数z、分度圆直径d(链轮上链的各滚子中心所在的圆)、齿顶圆直径da、齿根圆直径df。其计算公式为



2.链轮结构
图8为几种常用的链轮结构。小直径链轮一般做成整体式(图6.8a),中等直径链轮多做成辐板式,为便于搬运、装卡和减重,在辐板上开孔(图6.8b),大直径链轮可做成组合式(图6.8c,d),此时齿圈与轮芯可用不同材料制造。

3.链轮材料
链轮材料应保证轮齿有足够的强度和耐磨性,故链轮齿面一般都经过热处理,使之达到一定硬度。常用材料见表2。

